COMUNICADO
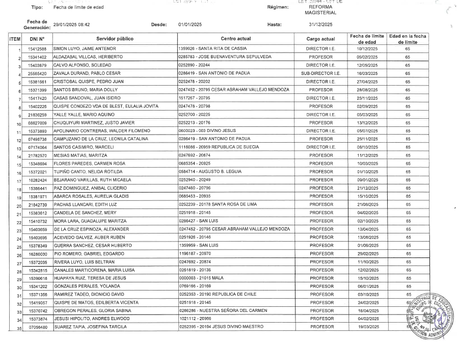
Jue, 4 de diciembre del 2025, 11:30 AM por UGEL 08 CAÑETESE COMUNICA A TODOS LOS DOCENTES Y PERSONAL ADMINISTRATIVO D.L N°276 QUE SE ENCUENTRAN LA RELACION DEL PRESENTE REGISTRO QUE CESAN POR LIMITE DE EDAD EN EL PRESENTE AÑO 2025, ACERCARSE A LA UGEL 08 CAÑETE(OFICINA DE PERSONAL) PARA REALIZAR LA ENTREGA FORMAL DEL OFICIO DE CESE HASTA EL DIA 05 DE DICIEMBRE.
Descargar Relación de personal: https://drive.google.com/file/d/17k-53mmkTngSsBfujIjmuXFp5CVtGSxo/view?usp=sharing

En
Deja una respuesta